Byla vydána beta verze Linux Mintu 22.3 s kódovým jménem Zena. Podrobnosti v přehledu novinek a poznámkách k vydání. Vypíchnout lze, že nástroj Systémová hlášení (System Reports) získal mnoho nových funkcí a byl přejmenován na Informace o systému (System Information). Linux Mint 22.3 bude podporován do roku 2029.
GNU Project Debugger aneb GDB byl vydán ve verzi 17.1. Podrobný přehled novinek v souboru NEWS.
Josef Průša oznámil zveřejnění kompletních CAD souborů rámů tiskáren Prusa CORE One a CORE One L. Nejsou vydány pod obecnou veřejnou licenci GNU ani Creative Commons ale pod novou licencí OCL neboli Open Community License. Ta nepovoluje prodávat kompletní tiskárny či remixy založené na těchto zdrojích.
Nový CEO Mozilla Corporation Anthony Enzor-DeMeo tento týden prohlásil, že by se Firefox měl vyvinout v moderní AI prohlížeč. Po bouřlivých diskusích na redditu ujistil, že v nastavení Firefoxu bude existovat volba pro zakázání všech AI funkcí.
V pořadí šestou knihou autora Martina Malého, která vychází v Edici CZ.NIC, správce české národní domény, je titul Kity, bity, neurony. Kniha s podtitulem Moderní technologie pro hobby elektroniku přináší ucelený pohled na svět současných technologií a jejich praktické využití v domácích elektronických projektech. Tento knižní průvodce je ideální pro každého, kdo se chce podívat na současné trendy v oblasti hobby elektroniky, od
… více »Linux Foundation zveřejnila Výroční zprávu za rok 2025 (pdf). Příjmy Linux Foundation byly 311 miliónů dolarů. Výdaje 285 miliónů dolarů. Na podporu linuxového jádra (Linux Kernel Project) šlo 8,4 miliónu dolarů. Linux Foundation podporuje téměř 1 500 open source projektů.
Jean-Baptiste Mardelle se v příspěvku na blogu rozepsal o novinkám v nejnovější verzi 25.12.0 editoru videa Kdenlive (Wikipedie). Ke stažení také na Flathubu.
OpenZFS (Wikipedie), tj. implementace souborového systému ZFS pro Linux a FreeBSD, byl vydán ve verzi 2.4.0.
Kriminalisté z NCTEKK společně s českými i zahraničními kolegy objasnili mimořádně rozsáhlou trestnou činnost z oblasti kybernetické kriminality. V rámci operací OCTOPUS a CONNECT ukončili činnost čtyř call center na Ukrajině. V prvním případě se jednalo o podvodné investice, v případě druhém o podvodné telefonáty, při kterých se zločinci vydávali za policisty a pod legendou napadeného bankovního účtu okrádali své oběti o vysoké finanční částky.
Na lepší pokrytí mobilním signálem a dostupnější mobilní internet se mohou těšit cestující v Pendolinech, railjetech a InterPanterech Českých drah. Konsorcium firem ČD - Telematika a.s. a Kontron Transportation s.r.o. dokončilo instalaci 5G opakovačů mobilního signálu do jednotek Pendolino a InterPanter. Tento krok navazuje na zavedení této technologie v jednotkách Railjet z letošního jara.
V minulém díle jsme načítali data ze souboru. Pokud data v souboru reprezentují měření, může nás zajímat, jak v nich odhalit matematickou závislost.
To nebudeme dělat nijak sofistikovaně pomocí specializovaných funkcí, ale prostě tak, že ručně trefíme nějaké křivky, až to bude vypadat hezky.
Dělal jsem analogový záznam barevné fotografie černobílou tiskárnou na papír a potřeboval jsem zjistit, jak reaguje laserová tiskárna na různé úrovně šedé, abych ji mohl simulovat v matematickém modelu. Pomocí modelu jsem pak mohl obejít nutnost výsledek při ladění pokaždé vytisknout a naskenovat, což stojí peníze.
V GIMPu jsem vyrobil černobílý gradient a ditheroval ho Floyd-Steinbergem na 1200x1200 DPI 1bitově. To jsem pak na 1200x1200 DPI ČB laserovce vytiskl a vzniklou flekatou zrnitou hrůzu naskenoval. Obrázek jsem zmenšil na velikost 1x256, čímž se částečně zprůměrovaly fleky a zrnění.
Jenže co teď? Jak dostat obrázek z GIMPu do GNU R? Prošel jsem ukládací funkce GIMPu a vidím, že štěstěna nás naštěstí obšťastnila formátem PGM, kde je možné při ukládání zvolit variantu ASCII. První zhruba tři řádky hlavičky se pak v textovém editoru smažou a získáme soubor CSV, který již z minulých dílů umíme načíst. Ušetříme si tak eventuální googlování, zda a jak GNU R podporuje nahrávání dat přímo z bitmap.
Data vypadají tak, že je soubor s 256 řádky, na každém řádku číslo od 0 do 255. My se budeme pokoušet trefit nějakou matematickou funkci. Nejdříve to tedy nahrajeme:
a=read.table("transfer_fine.csv")
Zkusíme co udělá tohle:
plot(a)
Výsledek je opravdu hlubokomyslný:
Aby nám to vytisklo použitelný graf, je třeba vygenerovat ještě nějakou sadu čísel pro osu x:
x=0:255 plot(x,a$V1)
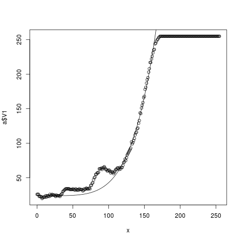
Teď už se nám rýsuje něco, co skutečně připomíná průběh jasu na papíře. Vidíme, že to je očividný nesmysl – křivka není monotónní. Od tiskárny bych čekal, že když se dá tmavší vstup, tak vyleze taky tmavší výstup. Boule před stovkou je výrazný světlý pruh, co na tisku byl. Zřejmě takový ten pruh od válců, co tiskárny rády dělají. On jí taky už docházel toner. Budu tedy tuto bouli ignorovat. Tohle myslím demonstruje typickou situaci při práci s GNU R – člověk se musí vždy nějak rozhodnout, které vlastnosti naměřených dat brát vážně a které zavrhnout jako nepřesnost měření.
Na to se teď pokusíme napasírovat nějakou křivku. Smyslem toho není něco rigorózního, ale hlavně, aby simulace nemusela pracovat s nějakými arbitrárními 256 hodnotami, které by navíc byly do očí bijícím způsobem fyzikálně nesmyslné (nemonotónní).
Nejdřív mě tak od oka napadlo, že by to mohla být křivka kvadratická. Sám jsem to dělal ručně, ale pro zjednodušení článku nadefinuju nějakou funkci
> f=function(a,b,c){plot(x,a$V1)}
> f
function(a,b,c){plot(x,a$V1)}
> f()
Error in xy.coords(x, y, xlabel, ylabel, log) :
argument "a" is missing, with no default
Nejdřív „zavolání“ funkce f bez závorek nefungovalo, místo toho to vypsalo její kód. Zdá se, že v R je funkce jakási hodnota, něco jako číslo, jen místo numera je v tom spustitelný kód! Napodruhé při zavolání se závorkami se to zase rozbilo! Protože jsem si nevšiml, že jsem si předefinoval proměnnou a, ve které jsem měl ta naměřená data! No tak to opravíme přejmenováním proměnných:
> f=function(b,c,d){plot(x,a$V1)}
> f()
Vytisklo nám to stejný obrázek jako předtím, i když jsme funkci dali příliš málo parametrů! Z toho plyne mravní ponaučení, že v R se dají funkce volat i s nedostastkem parametrů. Teď tam dodělám nějaké dokreslování té domnělé matematické funkce pomoci funkce lines, která domaluje do již existujícího grafu nějakou křivku:
g=function(b,c){x1=x/c;x2=x1*x1;krivka=b+(255-b)*x2;lines(x,krivka)}
f()
g(30,200)
g(24,200)
g(24,150)
g(24,170)
f() g(24,170)
Parametr b reprezentuje jakýsi podstavec na kterém je křivka, tedy hodnotu na levém kraji, a parametr c reprezentuje hodnotu x, pro kterou má křivka dát maximální y, tedy 255. Čísla v parametrech jsem nějak odhadl a postupně je přizpůsobil podle toho, jak to vypadalo. Podařilo se nám křivku napasovat na začátku a na konci, ale je pořád nějak moc napnutá! Proto mě napadá, co použít vyšší mocninu než druhou? Ty jsou takové více promáčklé:
g=function(b,c,d){x1=x/c;x2=x1^d;krivka=b+(255-b)*x2;lines(x,krivka)}
f()
g(24,170,3)
g(24,170,4)
g(24,170,5)
g(24,165,5)
g=function(b,c,d){x1=x/c;x2=x1^d;krivka=b+(255-b)*x2;lines(x,krivka)}
f()
g(24,165,5)
Přijde mi to už slušné, ale nelíbí se mi, že v levé dolní části se to drží příliš dlouho na nízkých hodnotách. A tu pravou strmou část to nějak ne úplně vystihne. Napadá mě tedy použít exponenciálu. Ta se v přírodě vyskytuje všude možně. Parametr b bude reprezentovat podstavec exponenciály, c bude mít stejný význam jako předtím a d bude škálovat osu x:
g=function(b,c,d){krivka=b+(255-b)*exp((x-c)/d);lines(x,krivka)}
f()
g(12,170, 20)
g(12,170, 40)
g(24,170, 30)
g(22,168, 30)
g(22,165, 30)
g=function(b,c,d){krivka=b+(255-b)*exp((x-c)/d);lines(x,krivka)}
f()
g(22,165, 30)
Sláva! Podařilo se na naměřená data napasírovat křivku k mojí spokojenosti. Teď už stačí jen koeficienty přenést do nějaké programátorské implementace např. v jazyce C:
/* Vstupni i vystupni hodnoty v rozsahu sede 0-255 */
float sim_printer(float x)
{
float rv;
float b=22, c=165, d=30;
rv=b+(255-b)*exp((x-c)/d);
if (rv>255) rv=255;
return rv;
}
Tato funkce nám simuluje i to rovné plato vpravo nahoře. Můžeme ji zapojit do simulace tiskárny a budeme to mít hezky hladké bez těch boulí a nemonotonicity v naměřených datech.
Nástroje: Tisk bez diskuse
Tiskni
Sdílej:
F=inline(" pin(1).*x^2 + pin(2).*x + pin(3) ","x","pin");
pak nastavime prvopocatecni odhad (musi byt vzdy, u slozitejsich funkci na tom bude zaviset kvalita fitu, ale u takovehle jednoduche muze byt prvni odhad cokoliv krome nuly):
pin=[1 1 1];
a fit se provede:
[fcomp,p,kvg,iter,corp,covp,covr,stdresid,Z,r2]=leasqr(datax,datay,pin,F);
koeficienty polynomu jsou v promenne p. Jak vykreslit, a v ktere promenne jsou residua fitu, jiz necham na laskavem ctenari (pouzijte help plot, help leasqr).
Tak a abclinuxu ma dalsi clanek :)
Nejmensi usili je prave pouzit nejakou fitovaci metoduJe to nejmensi usili pro vas, protoze to uz znate. Pokud byste to neznal, tak nastudovat si teorii o aproximaci a pak i pouziti rozhodne neni mensi usili nez zkusmo nastreli jednoduchou funkci, kterou autor zna a po par iteracich mit vysledek, ktery je vyhovujici. Je to debata o nicem ...
Vetsinou mam pochopeni pro zacinajici autory
Pokud to není jen shoda jmen, což podle tématu a formy článků nevypadá (potom by to byla opravdu obrovská náhoda), tak bych spíše doporučoval si zjistit, kdo daný autor je a potom psát nějaké soudy. 
Ja autora neznam a jeho jmeno mi nic nerika.
Njn, já jsem si až dodnes myslel, že k3b je počítačový software a nikoliv diskutér na abíčku
.
Podle urovne clanku jsem jen usoudil
Těžko říct, co bylo původním záměrem autora. Jestli pobavit, tak alespoň u mě se to 100% podařilo. (Při představě, že někdo ručně mění koeficienty
podle toho jak ne/pasuje graf.) Je to možná tím, že já nemám rád články, které nenechávají čtenáři žádný prostor. Cílová skupina článků o Rku je (podle mě) ta skupina lidí, která rozhodně ví, co je to metoda nejmenších čtverců (ví to samozřejmě i autor), a nejspíše zná jiný software (nejčastěji asi matlab) a cílem je jim nabídnout alternativu z OSS. Alespoň tak to vidím já. Já Rko neznám. Vím, že existuje, ale na grafy a fitování jsem vždy používal GNUplot. Opravdu nepotřebuju vědět, jakou metodu mám použít, ale je pro mě dobré vědět, že existuje další nástroj, ve které ji mohu použít.
Článok rozhodne nepokladám za zlý, ale skôr nepochopenie autora ako sa vtipom dostal k želanému výsledku.
library(mgcv)
model.zavislosti <- gam(zmerena.data ~ s(data.na.x)
Ocekavanou hodnotu pak v neznamych bodech dostanu:
predpovezene.hodnoty <- predict(model.zavislosti, data.na.x.kde.mne.zajima.predpoved)
sigmoidni.model <- nls(zmerena.data ~ SSlogis(data.na.x, a, b, c))
summary(sigmoidni.model)
?nls
pokud chcete kreslit predikovane cary
?plot
?predict
Pokud se chcete naucit s Rkem trochu zachazet a potrebujete to cesky (jinak built-in manuals, google):
navody Pavla Drozda.
Kurzu, navodu, kucharek,... je na R na internetu plno, mirenych od uplnych zacatecniku po lidi s pozadavky na ruzne specialni typy analyz.
Jde k tomu nějak přidat požadavek, aby funkce byla neklesající?kdyz mi jde jen o prepocet a nepotrebuju znat parametry funkce ktera jsou za tim
library(mgcv) model.zavislosti <- gam(zmerena.data ~ s(data.na.x)Ocekavanou hodnotu pak v neznamych bodech dostanu:
predpovezene.hodnoty <- predict(model.zavislosti, data.na.x.kde.mne.zajima.predpoved)